 |  | YouTube | YouTube | Fun fact: a single word can constitute a sentence. Another fun fact: a whole string of words does not always make sentence. So how do you know if y... | HS21+ Occupationa... |
 |  | Pepper Boy - SNL | YouTube | An incompetent apprentice Pepper Boy (Adam Sandler) learns the sensual art of grinding pepper from an old master (Dana Carvey). With Janeane Garofa... | |
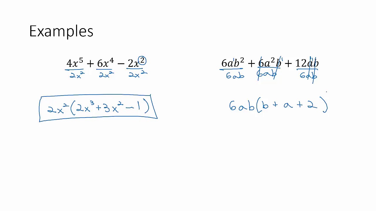
 |  | Greatest Common Factor and Zero Product Rule | YouTube | Find and factor the GCF out of a polynomial, then use it (along with the zero product rule) to solve polynomial equations | EdCC Algebra I |
 |  | Proteins | YouTube | CU Mini Medical School Proteins by J. John Cohen, MDCM, PhD | Human Anatomy |
 |  | Entering Numbers in Google Sheets * | YouTube | This video teaches students to use the basic features of Google Sheets, including how to open and name the sheet. The video is used in the followin... | I-DEA Fall - Offline |
 |  | Quadratic Formula | YouTube | Finding and using the quadratic formula | EdCC Algebra II |
 |  | Possessive pronouns | The parts of speech | Grammar | Khan Academy | YouTube | We can use pronouns to show possession relationships, describing what things belong to which people, like "her shoe" or "the book is mine." Possess... | HS21+ Portfolio &... |
 |  | English Grammar - 6 Ways to Use Gerunds | YouTube | http://www.engvid.com/ Gerunds are tough -- really tough. They can be hard to master, and new English speakers often wonder why they have to use on... | HS21+ Portfolio &... |
 |  | GIMP 2.10 Basics Overview and Feature | | GIMP 2.10 Basics Overview and Feature | CSE111 |
 |  | The Real Truth About Financial Aid – Adam Ruins College | YouTube | Think it’s hard to qualify for financial aid for college? WRONG. Turns out, you CAN get aid—and Adam Conover will tell you how. (Hint: You start by... | HS21+ Portfolio &... |
 |  | Muscle Contraction Overview Animation | YouTube | I found the entire muscle animation movie (prototype) that I describe in more detail here:
http://www.youtube.com/user/grahamj21?feature=mhum#p/u/5... | Human Anatomy |
 |  | How Healthcare Facilities Stay Healthy | YouTube | Did You Know?
Medical facilities such as hospitals and surgery centers can be made sick by the very patients they are treating. Just as you have ... | Health-VideoConve... |
 |  | Vocabulary - though, although, even though, despite, in spite of | YouTube, "NEW" HS+ English, US History, and Art... | http://www.engvid.com Though, although, even though -- how do we use each of these in English? In this lesson, I'll explain how we use them, and wh... | HS21+ Contemporar... |
 |  | The Story of Plastic: The Plastic Bag Diet | YouTube, "Pre Converted" HS+ English and Life S... | It's not that plastic waste in our world is mismanaged; it's that there is so much plastic being produced that it's unmanageable.
Solutions start ... | "Pre Converted" H... |
 |  | Water: Water Cycle, Forms of Water and Water Conservation - Something Fishy: Kids Lesson 1 | YouTube | This lesson, tailored to kids aged between 10-12 years, introduces kids to the topic of
Water, Forms of Water, The World's Water, The Water Cycle,... | I-DEA Spring - Of... |